希華企業為你解答石英振蕩器常見問題的答案
半導體元器件是電子產品部署的一部分,由于具有優異的穩定性,石英晶體振蕩器廣泛應用于需要高精度頻率輸出的通信,測量,時鐘,控制設備等領域,隨著對晶振頻率穩定性要求越來越嚴格,在很多情況下選擇振蕩器的選擇比晶體單元更好,因為只有振蕩器提供的電源電壓才能很容易地獲得高穩定性的頻率輸出.希華晶振電子企業歷經多年的產品經營總結出一些客戶對振蕩器元件的疑問并且給予滿意的答復.
一、振蕩電路上的晶振沒有信號輸出?
如果使用示波器或頻率計數器沒有通過晶體的兩個端子測量信號輸出,請按照說明確定因素和可能的解決方案.①請檢查晶體的內部端子(Xin)和外部端子(Xout)的電壓,并根據IC規格檢查電壓是否滿足.②請卸下石英晶體并測試其頻率和負載電容,以確定它們是否會使用專業測試機器振動并符合您的規格,您也可以將其發送給供應商,讓他們為您進行測試.③如果晶體沒有振動,其負載電容與您的規格不符,或者當前頻率與您的目標頻率之間存在巨大差距,請將晶體發送給您的供應商進行質量分析.④如果頻率和負載電容符合您的規格,但問題也存在,需要執行振蕩電路評估,您也可以將其發送給供應商,讓他們為您進行測試.⑤下圖顯示為一般振蕩電路,其中Cd和Cg是外部負載電容,Rf是反饋電阻,Rd是限制電阻.
二、由于頻率輸出偏差超出限制,系統無法正常工作?
①果頻率計測量的頻率超過極限,我們應該增加外部電容CL(或Cd和Cg的值),將頻率降低到我們的目標頻率,反之亦然.②如果頻率遠高于目標頻率,我們可以采用具有較低電容的晶體,反之亦然.
三、晶體參數的測試方法是什么?
將"pi電路"連接到網絡分析儀,其功能是測量等效常數并進行測量,JIS和IEC規定了"pi電路"的形狀和內部電阻,如下所示.
四、如何描述振蕩電路的工作原理?
晶體控制振蕩器可以被認為是由放大器和反饋網絡組成,其選擇放大器輸出的一部分并將其返回到放大器輸入,下面示出了這種電路的概括描述,為了使振蕩器電路工作,必須滿足兩個條件:(A)環路功率增益必須等于1,(B)的回路相移必須等于0,2蟺,4蟺等弧度.
五、什么是串聯或并聯諧振頻率?
從下圖可以看出,石英晶體單元具有兩個零相位頻率,兩者中的第一個或更低的是串聯諧振頻率,通常縮寫為Fs,零相位的兩個或更高頻率中的第二個或更高是并聯或反共振頻率,通常縮寫為Fa,串聯和并聯諧振頻率在石英振蕩器電路中都是電阻性的,在串聯諧振點處,電阻最小并且電流最大,在平行點處,電阻是最大的并且電流是最小的,因此,并聯諧振頻率Fa永遠不應用作振蕩器電路的控制頻率,通過在振蕩器電路的反饋回路中包含無功分量(通常是電容器),可以使石英晶體單元在沿串聯和并聯諧振點之間的線的任何點處振蕩,fs和fa頻率由壓電陶瓷材料及其物理參數決定,等效電路常數可以從以下公式確定.

六、什么是水晶的CL值?它的影響是什么?
所有石英晶體諧振器都具有串聯諧振頻率(fs,最低阻抗頻率),在此頻率下,晶體在電路中呈現電阻,通過添加與晶體串聯的電抗(電容),可以從該系列頻率"拉"出晶體,當與外部負載電容(CL)結合使用時,晶體在略高于其串聯諧振頻率的頻率范圍內振蕩,這是并聯(負載諧振)頻率.訂購并聯晶體時,請始終以picoFarads(pF)指定標稱并聯諧振頻率和負載電容量,例如,可以訂購CL的標準值(例如15pF),然后計算電容器值以匹配晶體CL,負載頻率取決于CL值,其公式如下所示,如果輸出晶振頻率高于目標頻率,則應增加外部電容CL(或Cd和Cg的值),以將頻率降低到目標頻率,另一種方法是,如果頻率高于中心頻率,則采用具有較低電容的晶體.
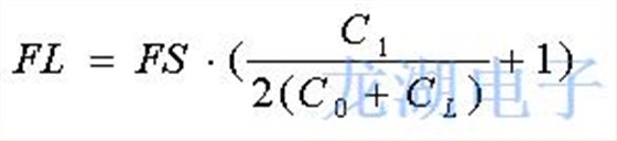
七、晶體的頻率可牽引性不足或牽引范圍不對稱
①如下所示,電路的負載電容與可牽引性之間存在負相關,它表明,當負載電容變小時,頻率牽引范圍會更大,反之亦然,②另一方面,石英晶振特性也影響頻率牽引范圍,例如,有Trim Sensitivity(TS),Co和C1,負載電容的增量變化的分數頻率變化稱為TS,當C1變大或Co變小時,頻率可牽引性變大,③如果拉伸范圍不對稱,即一側拉力不足而另一側拉力太大,我們可以調整晶體的負載電容值.


NDK晶振,石英晶體諧振器,NX5032SD晶振
NDK晶振,石英晶振,NX3225SA晶振
NDK晶振,石英晶振,NX2520SG晶振
NDK晶振,石英晶振,NX1612SA晶振


