理解Crystek高性能振蕩器的相位噪聲,一心一意專注于打磨低成本高質量產品為主的Crystek公司,憑借著自身才智與實力,源源不斷為行業貢獻自我的價值,同時也為用戶提供高于其需求的產品,并得到廣大用戶的好評,為了突破自我,Crystek公司開始針對于新的市場需求優化與更新自身的產品,也為了能夠讓用戶擁有更加廣泛的選擇空間而作出一番努力,經過一段的打磨,便有了突飛猛進的效果。
在幫助理解相位噪聲和抖動的同時高性能振蕩器,本文還考察了振蕩器相位噪聲對系統性能的影響,強調使用超低相位噪聲的重要性系統中的振蕩器。
對于一個電氣工程師來說,在理想的世界里噪音但什么是噪音?什么是電噪聲?或更多本文的重點是:什么是相位噪聲?作為工程師,我們憑直覺知道系統中的低噪聲比高噪聲好噪音然而,我們必須通常量化這種噪音接受的單位。我們還將檢查相位的差異商品與低成本、高性能晶體振蕩器的噪聲性能。了解成本振蕩器之間的性能權衡對于系統設計。很多時候我們看到兩個競爭系統在性能上差別很大,但在價格上沒有。這個振蕩器相位噪聲特性將主導整個系統性能和在振蕩器可以提高系統的性能。
然而工程師可以容易地過度指定振蕩器,因此,關鍵是要準確理解有源晶體振蕩器相位噪聲(或抖動)限制了系統性能。幫助有了這樣的理解,關于相位噪聲和抖動的教程就在順序.
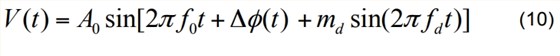
振蕩器相位噪聲和抖動在振蕩器中,相位噪聲是指輸出信號的相位分量。這個方程式信號為:
上面,Δφ()t是相位噪聲,但A0將建立信噪比。圖1說明了這一點。
噪聲信號是隨機的,從廣義上講,噪聲可以被表征為干擾要處理或生成的主信號。它會干擾諸如電壓、電流、相位等的任何物理參數,頻率(或時間)等。因此,我們的想法是最大化信號并最小化噪聲,以獲得高信噪比SNR.
原廠代碼
品牌
型號
類型
頻率
頻率穩定度
工作溫度
CVHD-950-125.000
Crystek振蕩器
CVHD-950
VCXO
125MHz
-
0°C ~ 70°C
CVHD-952-148.500
Crystek振蕩器
CVHD-952
VCXO
148.5MHz
-
0°C ~ 70°C
CVSS-945-122.880
Crystek振蕩器
CVSS-945
VCXO
122.88MHz
-
0°C ~ 70°C
CVCSO-914-245.760
Crystek振蕩器
CVCSO-914
VCSO (SAW)
245.76MHz
±200ppm
-20°C ~ 70°C
CVS575-622.080
Crystek振蕩器
CVS575
VCSO (SAW)
622.08MHz
±150ppm
-20°C ~ 70°C
CVS575S-500.000
Crystek振蕩器
CVS575S
VCSO (SAW)
500MHz
-150ppm, +100ppm
-20°C ~ 70°C
CVPD-970X-622.080
Crystek振蕩器
CVPD-970
VCXO
622.08MHz
±25ppm
-40°C ~ 85°C
CPRO33-100.000
Crystek振蕩器
CPRO
XO (Standard)
100MHz
±25ppm
0°C ~ 70°C
CPRO33-10.000
Crystek振蕩器
CPRO
XO (Standard)
10MHz
±25ppm
0°C ~ 70°C
PPRO30-10.000
Crystek振蕩器
PPRO
TCXO
10MHz
±2.5ppm
-40°C ~ 85°C
RFPRO33-500.000
Crystek振蕩器
RFPRO
SO (SAW)
500MHz
-150ppm, +100ppm
-20°C ~ 70°C
RFPRO33-1000.000
Crystek振蕩器
RFPRO
SO (SAW)
1GHz
-150ppm, +100ppm
-20°C ~ 70°C
CPRO33-20.000
Crystek振蕩器
CPRO
XO (Standard)
20MHz
±25ppm
0°C ~ 70°C
PPRO30-40.000
Crystek振蕩器
PPRO
TCXO
40MHz
±2.5ppm
-20°C ~ 75°C
CRBSCS-01-80.000
Crystek振蕩器
CRBSCS, RedBox
RF Clock Source
80MHz
±25ppm
-40°C ~ 85°C
CRBSCS-01-250.000
Crystek振蕩器
CRBSCS, RedBox
RF Clock Source
250MHz
±150ppm
-40°C ~ 85°C
CRBSCS-01-1000.000
Crystek振蕩器
CRBSCS, RedBox
RF Clock Source
1GHz
±150ppm
-40°C ~ 85°C
CCO-083-100.000
Crystek振蕩器
CCO
XO (Standard)
100MHz
±25ppm
0°C ~ 70°C
C3391-4.096
Crystek振蕩器
C33
XO (Standard)
4.096MHz
±25ppm
0°C ~ 70°C
C3391-4.096
Crystek振蕩器
C33
XO (Standard)
4.096MHz
±25ppm
0°C ~ 70°C
CCHD-575-25-22.5792
Crystek振蕩器
CCHD-575
XO (Standard)
22.5792MHz
-
0°C ~ 70°C
CCHD-575-50-125.000
Crystek振蕩器
CCHD-575
XO (Standard)
125MHz
±50ppm
0°C ~ 70°C
CCHD-950-50-49.152
Crystek振蕩器
CCHD-950
XO (Standard)
49.152MHz
±50ppm
0°C ~ 70°C
CCPD-575X-20-80.000
Crystek振蕩器
CCPD-575
XO (Standard)
80MHz
±20ppm
-40°C ~ 85°C
CCHD-957-25-24.576
Crystek振蕩器
CCHD-957
XO (Standard)
24.576MHz
±25ppm
0°C ~ 70°C
CCHD-957-25-45.1584
Crystek振蕩器
CCHD-957
XO (Standard)
45.1584MHz
±25ppm
0°C ~ 70°C
CCHD-957-25-49.152
Crystek振蕩器
CCHD-957
XO (Standard)
49.152MHz
±25ppm
0°C ~ 70°C
CCPD-575X-20-125.000
Crystek晶振
CCPD-575
XO (Standard)
125MHz
±20ppm
-40°C ~ 85°C
CCSO-914X-245.760
Crystek振蕩器
CCSO
SO (SAW)
245.76MHz
±150ppm
-40°C ~ 85°C
CVHD-952-153.600
Crystek振蕩器
CVHD-952
VCXO
153.6MHz
-
0°C ~ 70°C
CVSS-945-125.000
Crystek振蕩器
CVSS-945
VCXO
125MHz
-
0°C ~ 70°C
CVS575-500.000
Crystek振蕩器
CVS575
VCSO (SAW)
500MHz
±150ppm
-20°C ~ 70°C
CRBSCS-01-100.000
Crystek振蕩器
CRBSCS, RedBox
RF Clock Source
100MHz
±150ppm
-40°C ~ 85°C
CPRO33-50.000
Crystek振蕩器
CPRO
XO (Standard)
50MHz
±25ppm
0°C ~ 70°C
CPRO33-125.000
Crystek振蕩器
CPRO
XO (Standard)
125MHz
±25ppm
0°C ~ 70°C
CRBSCS-01-125.000
Crystek振蕩器
CRBSCS, RedBox
RF Clock Source
125MHz
±25ppm
-40°C ~ 85°C
CRBSCS-01-50.000
Crystek振蕩器
CRBSCS, RedBox
RF Clock Source
50MHz
±25ppm
-40°C ~ 85°C
CRBSCS-01-245.760
Crystek振蕩器
CRBSCS, RedBox
RF Clock Source
245.76MHz
±150ppm
-40°C ~ 85°C
PPRO30-13.000
Crystek振蕩器
PPRO
TCXO
13MHz
±2.5ppm
-20°C ~ 75°C
PPRO30-26.000
Crystek振蕩器
PPRO
TCXO
26MHz
±2.5ppm
-20°C ~ 75°C
CPRO33-156.250
Crystek振蕩器
CPRO
XO (Standard)
156.25MHz
±25ppm
-40°C ~ 85°C
CVHD-950X-122.880
Crystek振蕩器
CVHD-950
VCXO
122.88MHz
-
-40°C ~ 85°C
C3290-1.544
Crystek振蕩器
C3290
XO (Standard)
1.544MHz
±100ppm
0°C ~ 70°C
C3290-1.843200
Crystek振蕩器
C3290
XO (Standard)
1.8432MHz
±100ppm
0°C ~ 70°C
C3290-10.000
Crystek振蕩器
C3290
XO (Standard)
10MHz
±100ppm
0°C ~ 70°C
C3290-12.000
Crystek振蕩器
C3290
XO (Standard)
12MHz
±100ppm
0°C ~ 70°C
C3290-12.288
Crystek振蕩器
C3290
XO (Standard)
12.288MHz
±100ppm
0°C ~ 70°C
C3290-12.352
Crystek振蕩器
C3290
XO (Standard)
12.352MHz
±100ppm
0°C ~ 70°C
C3290-14.318180
Crystek振蕩器
C3290
XO (Standard)
14.31818MHz
±100ppm
0°C ~ 70°C
C3290-15.360
Crystek振蕩器
C3290
XO (Standard)
15.36MHz
±100ppm
0°C ~ 70°C
C3290-16.000
Crystek振蕩器
C3290
XO (Standard)
16MHz
±100ppm
0°C ~ 70°C
C3290-16.384
Crystek振蕩器
C3290
XO (Standard)
16.384MHz
±100ppm
0°C ~ 70°C
C3290-18.432
Crystek振蕩器
C3290
XO (Standard)
18.432MHz
±100ppm
0°C ~ 70°C
C3290-19.440
Crystek振蕩器
C3290
XO (Standard)
19.44MHz
±100ppm
0°C ~ 70°C
C3290-2.048
Crystek振蕩器
C3290
XO (Standard)
2.048MHz
±100ppm
0°C ~ 70°C
C3290-20.000
Crystek振蕩器
C3290
XO (Standard)
20MHz
±100ppm
0°C ~ 70°C
C3290-20.480
Crystek振蕩器
C3290
XO (Standard)
20.48MHz
±100ppm
0°C ~ 70°C
C3290-24.000
Crystek振蕩器
C3290
XO (Standard)
24MHz
±100ppm
0°C ~ 70°C
C3290-24.704
Crystek振蕩器
C3290
XO (Standard)
24.704MHz
±100ppm
0°C ~ 70°C
C3290-25.000
Crystek振蕩器
C3290
XO (Standard)
25MHz
±100ppm
0°C ~ 70°C
C3290-3.686400
Crystek振蕩器
C3290
XO (Standard)
3.6864MHz
±100ppm
0°C ~ 70°C
C3290-30.000
Crystek振蕩器
C3290
XO (Standard)
30MHz
±100ppm
0°C ~ 70°C
K是玻爾茲曼常數=-23 1.38x10(J/K)
T是絕對溫度,單位為K
Δf和B都表示
測量單位為赫茲。
在沒有任何信號的情況下,存在熱噪聲基底。這樓層可以用多種單位指定:瓦特、V2/Hz,V/Hz、dBm/Hz等等。對于有源石英晶振便于使用dBm/Hz來定義噪聲密度。
在定義dBm/Hz之前,我們需要首先定義dBm是指50Ω系統中高于1 mW的分貝,并給出通過.
因此,根據上述等式,1mW等于0dBm。方程2給出了熱噪聲的大小代入K和T,我們得到:
其中B是感興趣的帶寬,我們將使用1Hz以對結果進行歸一化。使用dBm方程(等式3),并且使用上面的結果,我們得到:
將帶寬B設置為1Hz將在中給出最終結果dBm/Hz,并且由于log(1)為零,我們得到:

例如:什么是-50 dBm,單位為dBm/Hz,單位為1kHz帶寬?解決方案:
功率(dBm/Hz)=-50-10log(1000)=-50-10(3)=-80 dBm/Hz
載波上的噪聲可以分為兩類;
隨機性和確定性。隨機噪聲傳播載波而確定性噪聲在載波上產生邊帶如圖2所示。將確定性組件添加到方程1現在變為
其中:md是確定性信號的振幅相位調制載波,fd是確定性信號。
噪聲具有無限帶寬,因此用于測量載波的儀器的帶寬有噪聲的頻率,它測量的噪聲就越高。對于例如,當您更改分辨率帶寬時(等效到IF信道的物理帶寬)分析儀,噪聲幅度發生變化。因此,應該當指定振蕩器或信號源的頻譜純度。理解Crystek高性能振蕩器的相位噪聲.
行業已經確定了相位的相關帶寬1赫茲的噪聲測量,稱為歸一化頻率很少有頻譜分析儀具有1Hz分辨率帶寬。這樣的頻譜分析儀非常昂貴的事實上,你想離承運人越近測量,儀器成本就越高。頻譜分析器將指定它可以測量的離載體的距離
(被稱為可能的最低分辨率帶寬);在上面這個最大頻率,可以將讀數標準化為1Hz,包括以下內容:
例如,假設在從載波偏移10kHz的頻率。以及決議儀器的帶寬設置為1kHz。階段是什么該點的噪聲(dBc/Hz)?
信號的噪聲頻譜圍繞載波頻率,因此,有必要僅指定一側。這種單邊頻譜被稱為單邊帶(SSB)頻譜。因此,信號的頻譜純度可以是通過其單邊帶(SSB)相位噪聲完全量化如圖3所示。
振蕩器只不過是一個ASIC和一個石英晶體坯料。在大多數情況下,它甚至沒有內部旁路電容器。水晶坯件是AT切割條
Q約為25K至45K。此低Q限制了閉合相位噪聲。ASIC及其所有晶體管限制了底板噪聲降低到大約-150 dBc/Hz。另一方面超低相位噪聲振蕩器采用離散高性能石英晶體振蕩器拓撲結構,封裝晶體Q大于70K以獲得極好的接近相位噪聲。這個離散振蕩器拓撲結構建立了信噪比,因此地板低于-160 dBc/Hz。因此,上級使用非常高的Q晶體和良好.

NDK晶振,石英晶體諧振器,NX5032SD晶振
NDK晶振,石英晶振,NX3225SA晶振
NDK晶振,石英晶振,NX2520SG晶振
NDK晶振,石英晶振,NX1612SA晶振


